2025年欧洲肝脏研究学会年会(EASL)于2025年5月7日至10日在荷兰阿姆斯特丹举行。一项关于门冬氨酸鸟氨酸的研究成果——《L-门冬氨酸-L-鸟氨酸可改善肝硬化患者的生活质量和氨水平,但不影响微生物组菌群失调:4期研究结果》在该大会上发布。

研究目的
研究LOLA是否可以改善肠道微生物组的组成和功能,减少肌肉减少症和虚弱,降低血氨水平,提高肝硬化和肝性脑病患者的生活质量。此外,还评估了LOLA对肠道通透性、炎症和肌肉相关生物标志物的影响,以更好地了解其在治疗肝硬化相关并发症中的潜在作用。
研究方法
在这项单中心、开放标签、4期研究中,肝硬化和肝性脑病(0-2级)患者口服LOLA(18 g/天)3个月。终点包括肠道微生物组组成(16 S rRNA测序、多样性分析、分类学差异和功能预测)、生活质量(SF-36)、血清氨水平、肌肉减少症和虚弱指标(肌肉质量,肝虚弱指数,SARC-F)和与肌肉减少症相关的生物标志物(肌肉生长抑制素、鸢尾素、FGF-21、IGF-1)、肠通透性和炎症(sCD 14、LBP、钙卫蛋白、连蛋白、DAO)。
研究结果
在筛选的193例患者中,65例入选,52例(年龄58~65岁,40.4%女性)完成研究。
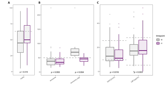
LOLA可显著改善患者生活质量(SF-36):LOLA治疗3个月后,活力评分(SF-36)显著改善(p=0.019),表明对患者报告的生活质量有积极影响(图1A)。
LOLA可显著降低高血氨患者血氨水平:LOLA治疗导致基线氨水平升高(≥50 µmol/L; p=0.004)的患者血氨水平显著降低,表明LOLA对氨的影响可能取决于初始高氨血症(图1B)。
LOLA可显著改善肠道屏障并调节免疫应答:LOLA处理导致二胺氧化酶(DAO,p=0.016)降低,表明改善的肠道屏障完整性。LPS结合蛋白(LBP)增加(p=0.006),表明潜在的免疫应答调节(图1C)。这些发现表明,LOLA可能会改善肝硬化患者的肠道通透性和先天免疫。

图1:(A) SF-36生活质量评分中位数的变化[%]。虚线表示正常人群的中值。(B) 整个队列和氨浓度基线高于50 µmol/L的患者至干预结束中位氨浓度[µmol/L]的变化。(C) 血清中测量的生物标志物的中位浓度:血清中的二胺氧化酶(DAO)[U/mL]和血浆中的LPS结合蛋白(LBP)[µg/mL]。虚线表示正常值参考范围。
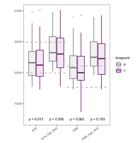
LOLA可显著改善氨相关的肌肉损失:所有患者平均来看,肌肉质量标志物(ASM、ALM)在研究期间降低了,但其中基线氨水平较高(≥50 µmol/L)的患者,在应用LOLA氨水平降低后显示肌肉质量保持不变(图2)。这表明LOLA可以减轻氨相关的肌肉损失。

图2:与肌肉减少症相关的中位肌肉参数变化:对于整个队列和血氨浓度高于50 µmol/L的患者附肢瘦体重(ALM)[g]和附肢骨骼肌质量(ASM)[g]的变化。虚线表示正常值参考范围。
降低Romboutsia相对丰度:在整个干预过程中总体微生物组β-多样性保持不变(图3A),但LOLA治疗与Romboutsia丰度显著降低相关(p<0.001), Romboutsia丰度是一种通过生物标志物分析(LEfSe)鉴定的细菌属。Flavonifractor(解黄酮菌属)和Oscillospira(颤螺菌属)丰度以及总体微生物组多样性保持不变(图3B)。

图3:(A) Beta多样性,基于Unifrac距离的主坐标分析。(B) 细菌生物标志物Flavonifractor和Oscillospira的相对丰度,以及通过LEfSe分析确定为差异丰度的Romboutsia属的相对丰度变化。
研究结论
LOLA改善了肝硬化患者的健康相关生活质量,轻微改变了肠道微生物组组成,还可以改善肠道通透性和先天免疫反应。LOLA可能是一种有效的治疗药物,以改善肝硬化患者的生活质量,并可能预防氨水平升高患者的肌肉损失。